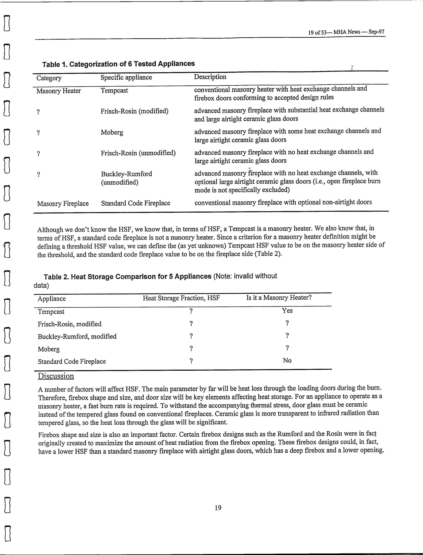
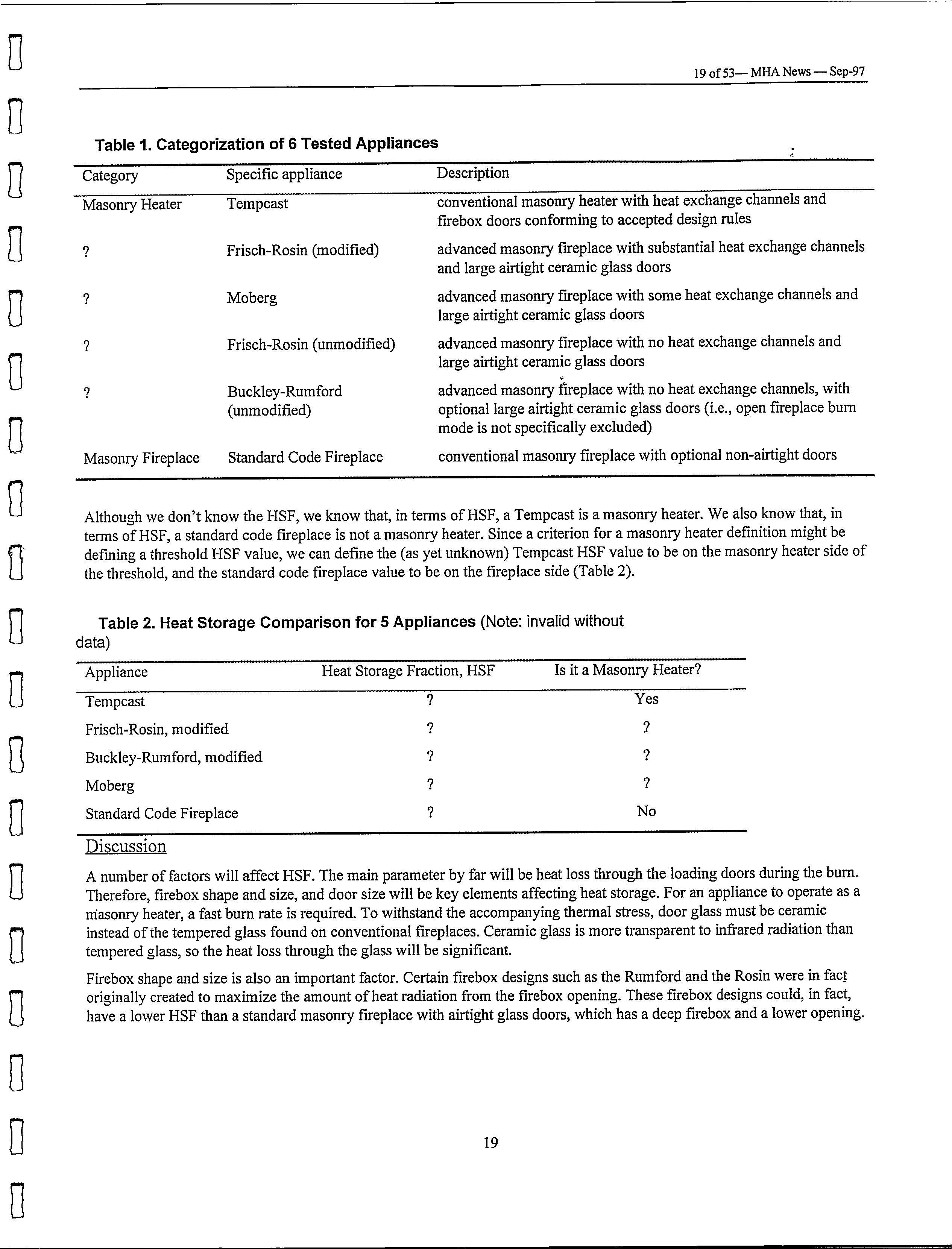
Skip to main content
MHA Library
View All
Search
Shelves
Books
Log in
Info
Content
Books
Archived Executive Dir...
Masonry Heater Associa...
MHA News Fall 1997 (co...
MHA News Fall 1997 (copy 2)
Original
MHA News Fall 1997.pdf
Preview
Enter section select mode
Previous
MHA News Fall 1997
Next
MHA News Special Edition - New Orleans Update
No Comments
Back to top
No Comments