Skip to main content
MHA Library
View All
Search
Shelves
Books
Log in
Info
Content
Books
Archived Executive Dir...
MHA Annual Mtg, 1996, ...
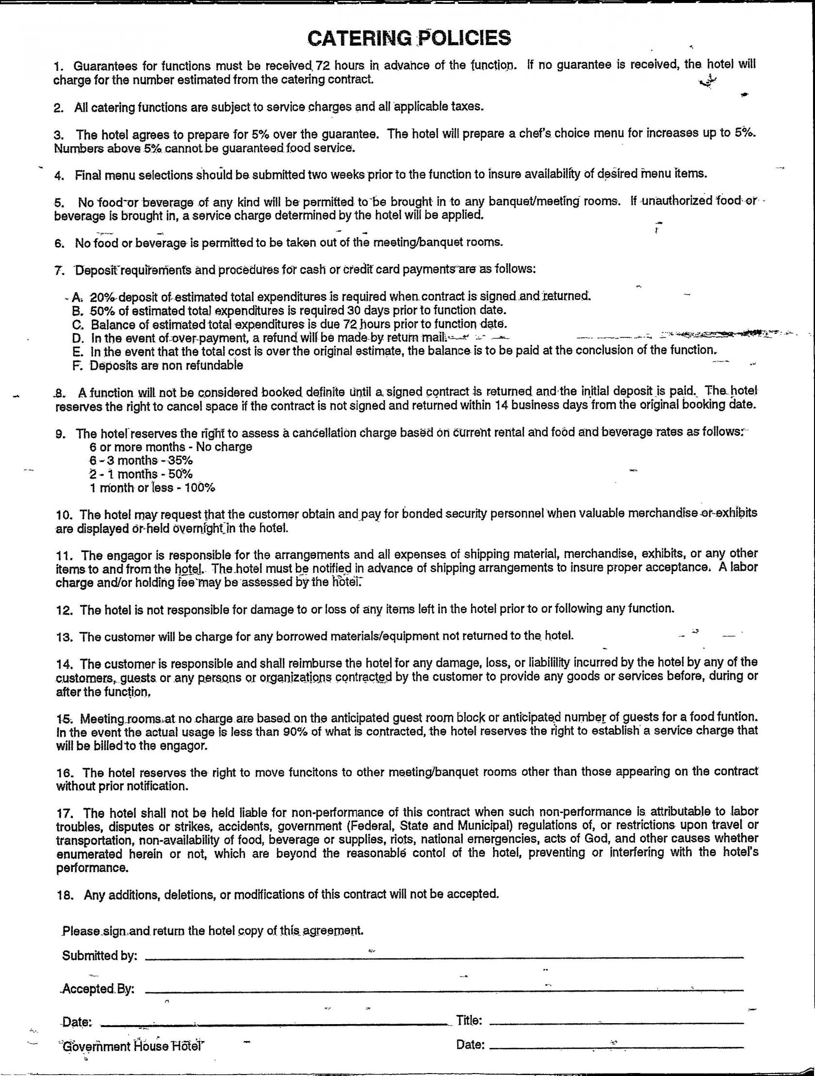
Hotel Catering Agreements
Hotel Catering Agreements
Original
Hotel Catering Agreement.pdf
Preview
Enter section select mode
Previous
Hearth and Home Expo Information
Next
HPA Registration and Housing Acknowledgements
No Comments
Back to top
No Comments