Skip to main content
MHA Library
View All
Search
Shelves
Books
Log in
Info
Content
Books
Archived Executive Dir...
Education
Clip 1 - Assorted Meet...
Clip 1 - Assorted Meetings, Messages
Original
Clip 1 - Assorted Meetings, Messages.pdf
Preview
Enter section select mode
Previous
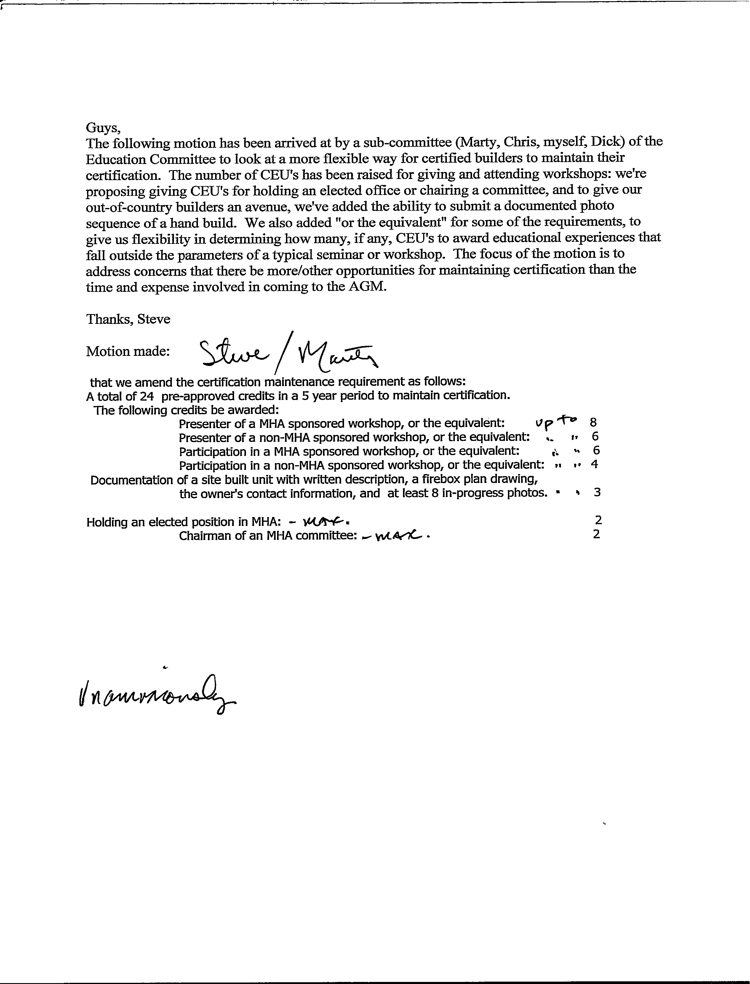
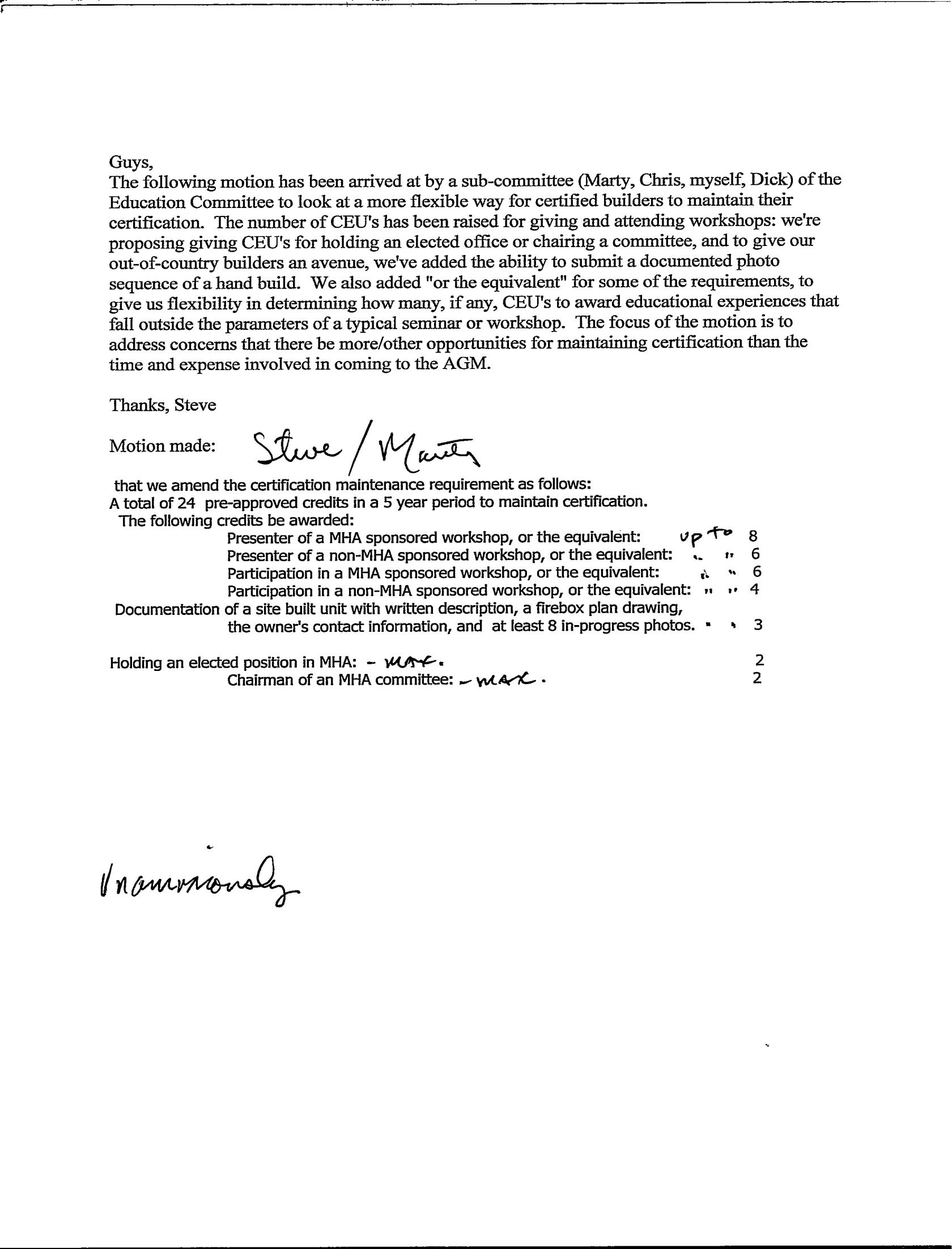
CEU credits sheet
Next
Clip 2 - Education Committee Meetings, Discus...
No Comments
Back to top
No Comments